Start Prep From 0 & Get IIT Bombay with Most Powerful JEE Dropper Course

NCERT Solutions for Class 12 Chemistry Chapter 10 Haloalkanes and Haloarenes PDF - eSaral

NCERT Solutions for Class 12 Chemistry Chapter 10 Haloalkanes and Haloarenes PDF - eSaral

NCERT Solutions for Class 12 Chemistry Chapter 10 Haloalkanes and Haloarenes PDF

Hey, are you a class 12 student and looking for ways to download NCERT Solutions for Class 12 Chemistry Chapter 10 Haloalkanes and Haloarenes PDF? If yes. Then read this post till the end.

In this article, we have listed NCERT Solutions for Class 12 Chemistry Chapter 10 Haloalkanes and Haloarenes in PDF that are prepared by Kota’s top IITian Faculties by keeping Simplicity in mind.

If you want to learn and understand class 12 Chemistry Chapter 10 "Haloalkanes and Haloarenes" in an easy way then you can use these solutions PDF.

NCERT Solutions helps students to Practice important concepts of subjects easily. Class 12 Chemistry solutions provide detailed explanations of all the NCERT questions that students can use to clear their doubts instantly.

If you want to score high in your class 12 Chemistry Exam then it is very important for you to have a good knowledge of all the important topics, so to learn and practice those topics you can use eSaral NCERT Solutions.

In this article, we have listed NCERT Solutions for Class 12 Chemistry Chapter 10 Haloalkanes and Haloarenes PDF that you can download to start your preparations anytime.

So, without wasting more time Let’s start.

Download NCERT Solutions for Class 12 Chemistry Chapter 10 Haloalkanes and Haloarenes PDF



Question 1. Write structure of the following compounds:

(i) 2 -chloro-3-methypentane

(ii) 1 -chloro-4-ethylcylohexane

(iii) 4 -tert, Buytl-3-iodoheptane

(iv) 1,4 -Dibromobut-2-ene

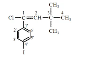
(v) 1-Bromo-4-sec.butyl-2-mathylbenzene

Solution. (i) 2-chloro-3-methyl pentane

NCERT Solutions for Class 12 Chemistry Chapter 10 Haloalkanes and Haloarenes PDF Image 1

Parent-Carbon Chain $=5$ membered (pent)

Prefix $=$ Chloro $(-C l)$

Substituent $\rightarrow$ methyl $\left(-\mathrm{CH}_{3}\right)$

(ii) 1 -chloro-4-ethylcyclohexane

NCERT Solutions for Class 12 Chemistry Chapter 10 Haloalkanes and Haloarenes PDF Image 2

Parent-Carbon Chain = Cyclopent

Primary Prefix $=$ Chloro $(-\mathrm{Cl})$

Substituent $\rightarrow$ ethyl $\left(-\mathrm{C}_{2} \mathrm{H}_{5}\right)$

Primary suffix $=$ ane

(iii) 4 -tert-Butyl-3-iodoheptane

NCERT Solutions for Class 12 Chemistry Chapter 10 Haloalkanes and Haloarenes PDF Image 3

Parent-Carbon Chain $=7$ (hept)

Primary Prefix $=-\mathrm{I}$ (Iodo)

Substituent →

NCERT Solutions for Class 12 Chemistry Chapter 10 Haloalkanes and Haloarenes PDF Image 4

Primary suffix $=$ ane

(iv) 1,4 -Dibromobut-2-ene

NCERT Solutions for Class 12 Chemistry Chapter 10 Haloalkanes and Haloarenes PDF Image 5

Primary suffix $=$ ane

(iv) 1,4 -Dibromobut-2-ene

NCERT Solutions for Class 12 Chemistry Chapter 10 Haloalkanes and Haloarenes PDF Image 6

Primary Prefix $=-\mathrm{Br}$ (Bromo)

Parent-Carbon Chain $=7$ (bute)

Primary suffix $=$ ene

(v) 1-Bromo-4-sec-butyl-2-methylbenzene

NCERT Solutions for Class 12 Chemistry Chapter 10 Haloalkanes and Haloarenes PDF Image 7

Primary Prefix $=-\mathrm{Br}$ (Bromo)

Substituent $\rightarrow-\mathrm{CH}_{3}$ (methyl) and $\mathrm{CH}_{3}-\mathrm{CH}_{1}-\mathrm{CH}_{2}-\mathrm{CH}_{3}$ (Secondary butyl)

Primary suffix $=$ ane

Question 2. Why is sulphuric acid not used during the reaction of alcohols with KI?

Solution. In the presence of sulphuric acid $\left(\mathrm{H}_{2} \mathrm{SO}_{4}\right), \mathrm{KI}$ produces $\mathrm{HI}$

$2 \mathrm{KI}+\mathrm{H}_{2} \mathrm{SO}_{4} \rightarrow 2 \mathrm{KHSO}_{4}+2 \mathrm{HI}$

Since $\mathrm{H}_{2} \mathrm{SO}_{4}$ is an oxidising agent, it oxidises HI (produced in the reaction to $\mathrm{I}_{2}$ ).

$2 \mathrm{HI}+\mathrm{H}_{2} \mathrm{SO}_{4} \rightarrow \mathrm{SO}_{2}+\mathrm{I}_{2}+\mathrm{H}_{2} \mathrm{O}$

Thus, the reaction between alcohol and HI to form an alkyl iodide cannot occur. Hence, sulphuric acid is not used during the reaction of alcohols with KI. Instead, a non-oxidizing acid such as $\mathrm{H}_{3} \mathrm{PO}_{4}$ is used.

Question 3. Write structures of different dihalogen derivates of propane.

Solution. There are four different dihalogen derivatives of propane. The structure of these derivatives are shown below.

(i)

NCERT Solutions for Class 12 Chemistry Chapter 10 Haloalkanes and Haloarenes PDF Image 8

1,1-Dibromopropane

(ii)

NCERT Solutions for Class 12 Chemistry Chapter 10 Haloalkanes and Haloarenes PDF Image 9

2,2-Dibromopropane

(iii)

NCERT Solutions for Class 12 Chemistry Chapter 10 Haloalkanes and Haloarenes PDF Image 10

1,2-Dibromopropane

(iv)

$\mathrm{Br}-\mathrm{CH}_{2}-\mathrm{CH}_{2}-\mathrm{CH}_{2}-\mathrm{Br}$

1,3-Dibromopropane

Question 4. Among the isomeric alkanes of molecular formula $\mathrm{C}_{5} \mathrm{H}_{12}$, identify the one that on photochemical chlorination yields

(i) A single monochloride

(ii) Three isomeric monochlorides.

(iii) Four isomeric monochlorides.

Solution. (i) Only one type of hydrogen atom in the isomer of the alkane of the molecular formula $\mathrm{C}_{5} \mathrm{H}_{12}$ should be there to have a single monochloride. This is because the replacement of any hydrogen atom leads to the formation of the same product. Thus the isomer is neopentane.



Neopentane

(ii) The isomer of the alkane of the molecular formula $\mathrm{C}_{5} \mathrm{H}_{12}$ should contain three different types of H-atoms to have three isomeric monochlorides.

Thus, the isomer is n-pentane. The three types of H atoms are labelled as a, b and c.



(iii) The isomer of the molecular formula $\mathrm{C}_{5} \mathrm{H}_{12}$ should contain four different types of H-atoms to have four isomeric monochlorides.

Thus, the isomer is 2 -methylbutane. The four types of H-atoms are labelled as $\mathrm{a}, \mathrm{b}, \mathrm{c}$ and $\mathrm{d}$.



Question 5. Draw the structures of major monohalo products in each of the following reactions:

(i)

(ii)





(iii)



(iv)



(v) $\mathrm{CH}_{3} \mathrm{CH}_{2} \mathrm{Br}+\mathrm{NaI} \rightarrow$

(vi)



Solution. (i)



(ii)



(iii)



(iv)



(v) $\underset{\text { Bromoethane }}{\mathrm{CH}_{3} \mathrm{CH}_{2} \mathrm{Br}}+\mathrm{NaI} \rightarrow \underset{\text { Iodoethane }}{\mathrm{CH}_{3} \mathrm{CH}_{2} \mathrm{I}+\mathrm{NaBr}}$

(vi)



Question 6. Arrange each set of compounds in order of increasing boiling points.

(i) Bromomethane, Bromoform, Chloromethane, Dibromomethane.

(ii) 1- Chloropropane, Isopropyl chloride, 1-Chlorobutane.

Solution.



For alkyl halides having the same alkyl group, the boiling point increases with an increase in the atomic mass of the halogen atom.

Since the atomic mass of Bromine (-Br) is greater than that of Chlorine ( $-\mathrm{Cl})$, the boiling point of bromomethane $\left(-\mathrm{CH}_{3} \mathrm{Br}\right)$ is higher than that of chloromethane $\left(\mathrm{CH}_{3} \mathrm{Cl}\right)$ due to Vander wall forces.

Also, for alkyl halides having the same alkyl group, the boiling point increases with an increase in the number of halides. Therefore, the boiling point of dibromomethane $\left(\mathrm{CH}_{2} \mathrm{Br}_{2}\right)$ is higher than that of chloromethane $\left(\mathrm{CH}_{3} \mathrm{Cl}\right)$ and bromomethane $\left(\mathrm{CH}_{3} \mathrm{Br}\right)$, but lower than that of bromoform $\left(\mathrm{CHBr}_{3}\right)$.

Therefore, the given compounds can be arranged in the order of their increasing boiling points as

chloromethane $\left(\mathrm{CH}_{3} \mathrm{Cl}\right)<$ bromomethane $\left(\mathrm{CH}_{3} \mathrm{Br}\right)<$ Dibromomethane $\left(\mathrm{CH}_{2} \mathrm{Br}_{2}\right)<$ bromoform( $\left.\mathrm{CHBr}_{3}\right)$

Question 7. Which alkyl halide from the following pairs would you expect to react more rapidly by an $\mathrm{S}_{\mathrm{N}} 2$ mechanism? Explain your answer.

(i)



(ii)



(iii)



Solution. (i)



Rate of $S_{N} 2 \propto \frac{1}{\text { steric hindrance }}$

2 -bromobutane is a $2^{\circ}$ alkylhalide whereas 1 -bromobutane is a $1^{0}$ alkyl halide. The approaching of nucleophile is more hindered in 2 -bromobutane than in 1 -bromobutane. Therefore, 1 -bromobutane reacts more rapidly than 2 -bromobutane by an $\mathrm{S}_{\mathrm{N}} 2$ mechanism.

(ii)



2 -Bromobutane $\left(2^{\circ}\right) \quad 2$-Bromo-2-methylpropane $\left(3^{\circ}\right)$

Rate of $S_{N} 2 \propto \frac{1}{\text { steric hindrance }}$

2 - bromobutane is $2^{\circ}$ alkyl halide whereas $2-$ bromo $-2$-methylpropane is $3^{\circ}$ alkyl halide.

Thus, greater numbers of substituents are present in $3^{\circ}$ alkyl halide than in $2^{0}$ alkyl halide for hindering the approaching nucleophile.

Therefore, 2 -bromobutane reacts more rapidly than 2-bromo-2methylpropane by an $\mathrm{S}_{\mathrm{N}} 2$ mechanism.

(iii)



2 - methyl-1 - bromobutane is $\beta$ substituted methyl group. So, it is more hindered as compared to 3-methyl-1-bromobutane. Therefore, $\mathrm{S}_{\mathrm{N}} 2$ reaction rate will be higher in 3 -methyl-1 - bromobutane.

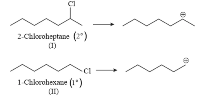
Question 8. In the following pairs of halogen compounds, which compound undergoes faster $\mathrm{S}_{\mathrm{N}} 1$ reaction?

(i)



(ii)



Solution.





$\mathrm{S}_{\mathrm{N}} 1$ reaction proceeds via the formation of carbocation. The alkyl halide (i) is $3^{\circ}$ while (ii) is $2^{\circ}$. Therefore, (I) forms $3^{\circ}$ carbocation while (II) forms $2^{0}$ Carbocation. Greater the stability of the carbocation, faster is the rate of $S_{N} 1$ reaction. $3^{\circ}$ carbocation is more stable due to 9 hyperconjugation and more $+\mathrm{I}$ effect of $3-\mathrm{CH}_{3}$ group $2^{\circ}$ carbocation formed has 4 hyperconjugation and $2-$ $\mathrm{C}_{2} \mathrm{H}_{5}$ (+I group). So, it is less stable.

Therefore, (I), i.e. 2-chloro-2-methylpropane, undergoes faster $\mathrm{S}_{\mathrm{N}} 1$ reaction than

(ii) i.e., 3-chloropentane.

(ii)



The alkyl halide (i) is $2^{\circ}$ while (ii) is $1^{\circ}, 2^{\circ}$ carbocation is more stable than $1^{\circ}$





Question 9. Identify A, B, C, D, E, R and $\mathrm{R}^{1}$ in the following:







Solution.



Since Deuterium of $\mathrm{D}_{2} \mathrm{O}$ gets attached Grignard reagent to the carbon atom to which MgBr is attached, Hence $C$ is



When an alkyl halide is treated with Na in the presence of dry ether, a hydrocarbon containing double the number of carbon atoms as present in the original halide is obtained as the product. This reaction is known as Wurtz reaction. Therefore, the halide, $\mathrm{R}^{1}-\mathrm{X}$, is





And, compound E is



Question 1. Name the following halides according to IUPAC system and classify them as alkyl, allyl, benzyl (primary, secondary, tertiary), vinyl or aryl halides:

(i) $\left(\mathrm{CH}_{3}\right)_{2} \mathrm{CHCH}(\mathrm{Cl}) \mathrm{CH}_{3}$

(ii) $\mathrm{CH}_{3} \mathrm{CH}_{2} \mathrm{CH}\left(\mathrm{CH}_{3}\right) \mathrm{CH}\left(\mathrm{C}_{2} \mathrm{H}_{5}\right) \mathrm{Cl}$

(iii) $\mathrm{CH}_{3} \mathrm{CH}_{2} \mathrm{C}\left(\mathrm{CH}_{3}\right)_{2} \mathrm{CH}_{2} \mathrm{I}$

(iv) $\quad\left(\mathrm{CH}_{3}\right)_{3} \mathrm{CCH}_{2} \mathrm{CH}(\mathrm{Br}) \mathrm{C}_{6} \mathrm{H}_{5}$

(v) $\mathrm{CH}_{3} \mathrm{CH}\left(\mathrm{CH}_{3}\right) \mathrm{CH}(\mathrm{Br}) \mathrm{CH}_{3}$

(vi) $\mathrm{CH}_{3} \mathrm{C}\left(\mathrm{C}_{2} \mathrm{H}_{5}\right)_{2} \mathrm{CH}_{2} \mathrm{Br}$

(vii) $\mathrm{CH}_{3} \mathrm{C}(\mathrm{Cl})\left(\mathrm{C}_{2} \mathrm{H}_{5}\right) \mathrm{CH}_{2} \mathrm{CH}_{3}$

(viii) $\mathrm{CH}_{3} \mathrm{CH}=\mathrm{CHC}(\mathrm{Br})\left(\mathrm{CH}_{3}\right)_{2}$

(ix) $\mathrm{CH}_{3} \mathrm{CH}=\mathrm{CHC}(\mathrm{Br})\left(\mathrm{CH}_{3}\right)_{2}$

(x) $\mathrm{p}-\mathrm{ClC}_{6} \mathrm{H}_{4} \mathrm{CH}_{2} \mathrm{CH}\left(\mathrm{CH}_{3}\right)_{2}$

(xi) $\mathrm{m}-\mathrm{ClCH}_{2} \mathrm{C}_{6} \mathrm{H}_{4} \mathrm{CH}_{2} \mathrm{C}\left(\mathrm{CH}_{3}\right)_{3}$

(xii) $0-\mathrm{Br}-\mathrm{C}_{6} \mathrm{H}_{4} \mathrm{CH}\left(\mathrm{CH}_{3}\right) \mathrm{CH}_{2} \mathrm{CH}_{3}$

Solution. (i)



Substituent $=-\mathrm{CH}_{3}$ (Methyl)

Secondary prefix $=-\mathrm{Cl}$ (Chloro)

(Word root) Parent Carbon chain $=4$ (but)

Primary Suffix $=$ ane

IUPAC name $=$ Secondary prefix $+$ Primary prefix $+$ Word root $+$ primary suffix $+$ secondary suffix

(ii)



Substituent $=-\mathrm{CH}_{3}$ (Methyl)

Secondary prefix $=-C l$ (Chloro)

(Word root) Parent Carbon chain $=6$ (hex)

Primary Suffix $=$ ane

IUPAC name $=$ Secondary prefix $+$ Primary prefix $+$ Word root $+$ primary suffix $+$ secondary suffix

IUPAC name is 3 -chloro-4 -methyhexane (secondary alkyl halide).

(iii)



Substitute $=-\mathrm{CH}_{3}$ (Methyl)

Secondary prefix $=-\mathrm{I}$ (Iodo)

(Word root) Parent Carbon chain $=4$ (but)

Primary Suffix = ane

IUPAC name $=$ Secondary prefix $+$ Primary prefix $+$ Word root $+$ primary suffix $+$ secondary suffix

IUPAC name is 1 - Iodo $-2,2$-dimethylbutane (primary alkyl halide).

(iv)



Substitute $=-\mathrm{CH}_{3}$ (Methyl)

Secondary prefix $=-\mathrm{Br}$ (Bromo)

(Word root) Parent Carbon chain $=4$ (but)

Primary Suffix $=$ ane

IUPAC name $=$ Secondary prefix $+$ Primary prefix $+$ Word root $+$ primary suffix $+$ secondary suffix

$1-$ Bromo $-3,3-$ dimethyl $-1$ - phenylbutane

(secondary benzyl halide)

(v)

Substitute $=-\mathrm{CH}_{3}$ (Methyl)

Secondary prefix $=-\mathrm{Br}$ (Bromo)

(Word root) Parent Carbon chain $=4$ (but)

(vi)



Substitute $=-\mathrm{C}_{2} \mathrm{H}_{5}$ (ethyl)

Secondary prefix $=-\mathrm{Br}$ (Bromo)

(Word root) Parent Carbon chain $=4$ (but)

Primary Suffix $=$ ane IUPAC name $=$ Secondary prefix $+$ Primary prefix $+$ Word root $+$ primary suffix $+$ secondary suffix

$1-$ Bromo $-2-$ ethyl $-2-$ methylbutane

(primary alkyl halide)

(vii)



Substitute $-\mathrm{CH}_{3}$ (Methyl)

Secondary prefix $=-\mathrm{Cl}$ (Chloro)

(Word root) Parent Carbon chain $=5$ (pent)

Primary Suffix $=$ ane

IUPAC name $=$ Secondary prefix $+$ Primary prefix $+$ Word root $+$ primary suffix $+$ secondary suffix

$3-$ Chloro $-3-$ methylpentane

(Tertiary alkyl halide)

(viii)



Substitute $=-\mathrm{CH}_{3}$ (Methyl)

Secondary prefix $=-\mathrm{Cl}$ (Chloro)

(Word root) Parent Carbon chain $=6$ (hex)

Primary Suffix $=$ ene

IUPAC name $=$ Secondary prefix $+$ Primary prefix $+$ Word root $+$ primary suffix $+$ secondary suffix $3-$ Chloro $-5-$ methylhex $-2-$ ene

(Vinyl halide)

(ix)



Substitute $-\mathrm{CH}_{3}$ (Methyl)

Secondary prefix $=-\mathrm{Br}$ (Bromo)

(Word root) Parent Carbon chain $=5$ (pent)

Primary Suffix $=$ ene

IUPAC name $=$ Secondary prefix $+$ Primary prefix $+$ Word root $+$ primary suffix $+$ secondary suffix

4-Bromo-4-methylpent-2-ene

(x)

Substitute $=\left(\mathrm{CH}_{3}\right)_{2} \mathrm{CHCH}_{2}-$ (Methylpropyl)

Secondary prefix $=-\mathrm{Cl}$ (Chloro)

(Word root) Parent Carbon chain = benzene

IUPAC name $=$ Secondary prefix $+$ Primary prefix $+$ Word root $+$ primary suffix $+$ secondary suffix

$1-$ Chloro $-4-(2-$ methylpropyl) benzene

(Aryl halide)

(xi)



Substitute $=\left(\mathrm{CH}_{3}\right)_{3} \mathrm{CCH}_{2}-$ (Dimethylpropyl)

Secondary prefix $=-\mathrm{CH}_{2} \mathrm{Cl}$ (Chloromethyl)

(Word root) Parent Carbon chain $=$ benzene

IUPAC name $=$ Secondary prefix $+$ Primary prefix $+$ Word root $+$ primary suffix $+$ secondary suffix

1 - chloromethyl $-3-(2,2-$ dimethylpropyl) benzene

(Primary benzyl halide)

(xii)





(Word root) Parent Carbon chain $=$ benzene

IUPAC name $=$ Secondary prefix $+$ Primary prefix $+$ Word root $+$ primary suffix $+$ secondary suffix

$1-$ Bromo $-2-(1-$ methylpropyl) benzene

(Aryl halide)

Question 2. Give the IUPAC names of the following compounds:

(i) $\mathrm{CH}_{3} \mathrm{CH}(\mathrm{Cl}) \mathrm{CH}(\mathrm{Br}) \mathrm{CH}_{3}$

(ii) $\mathrm{CHF}_{2}$ CBrClF

(iii) $\mathrm{ClCH}_{2} \mathrm{C} \equiv \mathrm{CCH}_{2} \mathrm{Br}$ (iv) $\left(\mathrm{CCl}_{3}\right)_{3} \mathrm{CCl}$

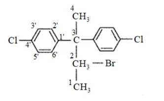
(v) $\mathrm{CH}_{3} \mathrm{C}\left(\mathrm{p}-\mathrm{ClC}_{6} \mathrm{H}_{4}\right){ }_{2} \mathrm{CH}(\mathrm{Br}) \mathrm{CH}_{3}$

(vi) $\quad\left(\mathrm{CH}_{3}\right)_{3} \mathrm{CCH}=\mathrm{CClC}_{6} \mathrm{H}_{4} \mathrm{I}-\mathrm{p}$

Solution. (i)



Secondary prefix $=-\operatorname{Br}($ Bromo $),-C l$ (Chloro)

(Word root) Parent Carbon chain $=4$ (bute)

Primary Suffix = ane

IUPAC name $=$ Secondary prefix $+$ Primary prefix $+$ Word root $+$ primary suffix $+$ secondary suffix

$2-$ Bromo $-3-$ chlorobutane

(ii)



Secondary prefix $=-\mathrm{Br}($ Bromo $),-\mathrm{Cl}($ Chloro $),-\mathrm{F}$ (Fluoro)

(Word root) Parent Carbon chain $=2($ eth $)$

Primary Suffix $=$ ane

IUPAC name $=$ Secondary prefix $+$ Primary prefix $+$ Word root $+$ primary suffix $+$ secondary suffix

1-Bromo-1-chloro-1,2,2-trifluoroethane

(iii)



Secondary prefix $=-\mathrm{Br}($ Bromo $),-\mathrm{Cl}$ (Chloro)

(Word root) Parent Carbon chain $=4$ (bute)

Primary Suffix $=$ yne

IUPAC name $=$ Secondary prefix $+$ Primary prefix $+$ Word root $+$ primary suffix $+$ secondary suffix

$1-$ Bromo $-4-$ chlorobut $-2-$ yne

(iv)



Secondary prefix $=-\mathrm{Cl}$ (Chloro)

Substitute $=-\mathrm{CCl}_{3}$ (trichloromethyl)

(Word root) Parent Carbon chain $=3$ (prop)

Primary Suffix $=$ ane

IUPAC name $=$ Secondary prefix $+$ Primary prefix $+$ Word root $+$ primary suffix + secondary suffix

$2-($ trichloromethyl $)-1,1,1,2,3,3,3-$ heptachloropropane

(v)



Secondary prefix $=-\mathrm{Br}$ (Bromo)

Substitute $=$ para $-\mathrm{phCl}$ (4-chlorophenyl)

(Word root) Parent Carbon chain $=4$ (bute)

Primary Suffix $=$ ane

IUPAC name $=$ Secondary prefix $+$ Primary prefix $+$ Word root $+$ primary suffix $+$ secondary suffix

$2-$ Bromo $-3,3-$ bis $(4-$ chlorophenyl) butane

(vi)



Secondary prefix $=-\mathrm{Cl}$ (Chloro)

Substitute $=$ para $-\mathrm{phI}$ (iodophenyl)

(Word root) Parent Carbon chain $=4$ (bute)

Primary Suffix $=$ ene

IUPAC name $=$ Secondary prefix $+$ Primary prefix $+$ Word root $+$ primary suffix $+$ secondary suffix

$1-$ chloro $-1-(4-$ iodophenyl $)-3,3-$ dimethylbut $-1-$ ene

Question 3. Write the structures of the following organic halogen compounds

(i) 2-chloro-3-methylpentane

(ii) p-Bromochlorobenzene

(iii) 1-Chloro-4-ethylcyclohexane

(iv) 2-(2-Chlorophenyl)-1-iodoctane

(v) 2-Bromobutane

(vi) 2-(2-Chlorophenyl)-1-iodoctane

(vii) 1-Bromo-4-sec-butyl-2-methylbenzene

(viii) 1,4-Dibromobut-2-ene

Solution.



Secondary prefix $=-\mathrm{Cl}$ (Chloro)

Substitute $=-\mathrm{CH}_{3}$ (methyl)

(Word root) Parent Carbon chain $=5$ (pent)

Primary Suffix $=$ ane

IUPAC name $=$ Secondary prefix $+$ Primary prefix $+$ Word root $+$ primary suffix $+$ secondary suffix

$2-$ chloro $-3-$ methylpentane

(ii)



Secondary prefix $=-C l$ (Chloro), $-B r$ (Bromo)

(Word root) Parent Carbon chain $=6$ (benzene)

IUPAC name $=$ Secondary prefix $+$ Primary prefix $+$ Word root $+$ primary

suffix $+$ secondary suffix

p-Bromochlorobenzne

(iii)



Secondary prefix $=-\mathrm{Cl}$ (Chloro)

Substitute $=-\mathrm{C}_{2} \mathrm{H}_{5}$ (ethyl)

(Word root) Parent Carbon chain $=6$ (benzene)

(Word root) Parent Carbon chain $=6$ (benzene)

IUPAC name $=$ Secondary prefix $+$ Primary prefix $+$ Word root $+$ primary suffix $+$ secondary suffix

$1-$ Chloro $-4-$ ethylcyclohexane

(iv)

Secondary prefix $=-\mathrm{I}$ (iodo)

Substitute $=($ Chlorophenyl $)$

(Word root) Parent Carbon chain $=6$ (benzene)

IUPAC name $=$ Secondary prefix $+$ Primary prefix $+$ Word root $+$ primary suffix $+$ secondary suffix

$2-(2-$ Chlorophenyl $)-1-$ iodooctane

(v) $\mathrm{CH}_{3}-\mathrm{CH}(\mathrm{Br})-\mathrm{CH}_{2}-\mathrm{CH}_{3}$

$2-$ Bromobutane

(vi)



Secondary prefix $=-\mathrm{I}$ (iodo)

Substitute $=-\mathrm{C}\left(\mathrm{CH}_{3}\right)_{3}$ (tert-Butyl)

(Word root) Parent Carbon chain $=7$ (hept)

IUPAC name $=$ Secondary prefix $+$ Primary prefix $+$ Word root $+$ primary suffix + secondary suffix

$4-$ tert $-$ Butyl $-3-$ iodoheptane

(vii)



Secondary prefix $=-\mathrm{Br}($ Bromo $)$

Substitute $=($ sec-butyl $),-\mathrm{CH}_{3}$ (methyl)

(Word root) Parent Carbon chain $=6$ (benzene)

IUPAC name $=$ Secondary prefix $+$ Primary prefix $+$ Word root $+$ primary suffix $+$ secondary suffix

$1-$ Bromo $-4-\sec -$ butyl $-2-$ methylbenzene

(viii)



Secondary prefix $=-\mathrm{Br}$ (Bromo)

(Word root) Parent Carbon chain $=4$ (bute)

primary suffix = ene

IUPAC name $=$ Secondary prefix $+$ Primary prefix $+$ Word root $+$ primary

suffix + secondary suffix

$1,4-$ Dibromobut $-2-$ ene

Question 4. Which of the following has the highest dipole moment?

(i) $\mathrm{CH}_{2} \mathrm{Cl}_{2}$

(ii) $\mathrm{CHCl}_{3}$

(iii) $\mathrm{CCl}_{4}$

Solution. Dipole moment $=$ Charge $\times$ Distance

$\mu=q \times d$

It is a vector quantity.

(i)



Dichloromethane $\left(\mathrm{CH}_{2} \mathrm{Cl}_{2}\right)$

$\mu=1.60 \mathrm{D}$

In $\mathrm{CH}_{2} \mathrm{Cl}_{2}$, the resultant of the dipole moments of two bonds is strengthened by the resultant of the dipole moments of two $C-H$ bonds. As a result, $\mathrm{CH}_{2} \mathrm{Cl}_{2}$ has a higher dipole moment of $1.60 \mathrm{D}$ than $\mathrm{CHCl}_{3} . \mathrm{CH}_{2} \mathrm{Cl}_{2}$ has the highest dipole moment.

(ii)



Chloroform ( $\mathrm{CHCl}_{3}$ )

$\mu=1.08 \mathrm{D}$

In $\mathrm{CHCl}_{3}$, the resultant of dipole moments of two $\mathrm{C}-\mathrm{Cl}$ bonds is opposed by the resultant of dipole moments of one $\mathrm{C}-\mathrm{H}$ bond and one $\mathrm{C}-\mathrm{Cl}$ bond.

Since the resultant of one $\mathrm{C}-\mathrm{H}$ bond and one $\mathrm{C}-\mathrm{Cl}$ bond dipole moments is smaller than two $\mathrm{C}-\mathrm{Cl}$ bonds, the opposition is to a small extent. As a result, $\mathrm{CHCl}_{3}$ has a small dipole moment of $1.08 \mathrm{D}$.

(iii)



Carbon tetrachloride $\left(\mathrm{CCl}_{4}\right)$

$\mu=0 \mathrm{D}$

$\mathrm{CCl}_{4}$ molecule is symmetrical. Therefore, the dipole moments of all four $\mathrm{C}-\mathrm{Cl}$ bonds cancel each other. So, its resultant dipole moment is zero.

Hence, the given compounds can be arranged in the increasing order of their dipole moments as:

$\mathrm{CCl}_{4}<\mathrm{CHCl}_{3}<\mathrm{CH}_{2} \mathrm{Cl}_{2}$.

Question 5. A hydrocarbon $\mathrm{C}_{5} \mathrm{H}_{10}$ does not react with chlorine in dark but gives a single monochloro compound $\mathrm{C}_{5} \mathrm{H}_{9} \mathrm{Cl}$ in bright sunlight. Identify the hydrocarbon.

Solution. A hydrocarbon with the molecular formula, $\mathrm{C}_{5} \mathrm{H}_{10}$ has the general molecular formula $\mathrm{C}_{\mathrm{n}} \mathrm{H}_{2 \mathrm{n}}$. Therefore, it can be either be an alkene or a cycloalkane.

It is a cycloalkane because hydrocarbons do not react with chlorine in the dark; it cannot be an alkene.

Also, the hydrocarbon gives a single monochloro compound, $\mathrm{C}_{5} \mathrm{H}_{9} \mathrm{Cl}$ by reacting with chlorine in bright sunlight. A single monochloro compound means that the hydrocarbon must contain hydrogen atoms that are all equivalent. And as all hydrogen atoms of a cycloalkane are equivalent, the hydrocarbon must be a cycloalkane. Hence, the said compound is cyclopentane.



Cyclopentane $\left(\mathrm{C}_{5} \mathrm{H}_{10}\right)$

The reactions involved are:



Question 6. Write the isomers of the compound having formula $\mathrm{C}_{4} \mathrm{H}_{9} \mathrm{Br}$

Solution. There are four isomers of the compound having the formula $\mathrm{C}_{4} \mathrm{H}_{9} \mathrm{Br}$. These isomers are given below.

(a) 1-Bromobutane



(b) 2-Bromobutane



(c) 1-Bromo-2-methylpropane



(d) 2-Bromo-2-methylpropane



Question 7. Write the equations for the preparation of 1-iodobutane from

(i) 1-butanol

(ii) 1-chlorobutane

(iii) but-1-ene

Solution:(i)



(ii)



(iii)



In the presence of peroxide, alkene gives antimarkovnikov’s product, Electrophilic addition.

Question 8. What are ambident nucleophiles? Explain with an example.

Solution. Nucleophiles having two nucleophilic sites are ambident nucleophiles. Hence, ambident nucleophiles have two sites through which they can attack.

Nitrite ion is an example of an ambident nucleophile.



Nitrite ion can either attack through oxygen resulting in the formation of alkyl nitrites or it can attack through nitrogen resulting in the formation of nitroalkanes.



Question 9. Which compound in each of the following pairs will react faster in $\mathrm{S}_{\mathrm{N}} 2$ reaction with $\mathrm{OH}^{-}$?

(i) $\mathrm{CH}_{3} \mathrm{Br}$ or $\mathrm{CH}_{3} \mathrm{I}$

(ii) $\left(\mathrm{CH}_{3}\right)_{3} \mathrm{CCl}$ or $\mathrm{CH}_{3} \mathrm{Cl}$

Solution. Rate of $\mathrm{S}_{\mathrm{N}} 2$ reaction $\propto[\mathrm{RX}]\left[\mathrm{nu}^{-}\right]$ Rate of $S_{N} 2$ reaction $\propto$ leaving group ability

(i) In $\mathrm{S}_{\mathrm{N}} 2$ mechanism, the reactivity of halides for the same alkyl group increases in the order $-\mathrm{F}<\mathrm{R}-\mathrm{Cl}<\mathrm{R}-\mathrm{Br}<\mathrm{R}-\mathrm{I}$

As the size of the ion increases, it becomes a better leaving group.

Therefore, $\mathrm{CH}_{3}$ I Will react faster than $\mathrm{CH}_{3} \mathrm{Br}$ In $\mathrm{S}_{\mathrm{N}} 2$ reactions with $\mathrm{OH}^{-}$.

(ii)



Rate of $\mathrm{S}_{\mathrm{N}} 2$ reaction $\propto[\mathrm{RX}]\left[\mathrm{nu}^{-}\right]$

Rate of $\mathrm{S}_{\mathrm{N}} 2$ reaction $\propto \frac{1}{\text { Hindrance }}$

The $\mathrm{S}_{\mathrm{N}} 2$ mechanism involves the attack of the nucleophile at the atom bearing the leaving group. But, in the case of $\left(\mathrm{CH}_{3}\right)_{3} \mathrm{CCl}$, the attack of the nucleophile at the carbon atom is hindered because of the presence of bulky substituents on that carbon atom bearing the leaving group. On the other hand, there are no bulky substituents on the carbon atom bearing the leaving group in $\mathrm{CH}_{3} \mathrm{Cl}$. Hence, $\mathrm{CH}_{3} \mathrm{Cl}$ reacts faster than $\left(\mathrm{CH}_{3}\right)_{3} \mathrm{CCl}$ in $\mathrm{S}_{\mathrm{N}} 2$ reaction with $\mathrm{OH}^{-}$.

Question 10. Predict all the alkenes that would be formed by dehydrohalogenation of the following of the following halides with sodium ethoxide in ethanol and identify the major alkene:

(i) 1-Bromo-1-methylcyclohexane

(ii) 2-Chloro-2-methylbutane

(iii) $2,2,3$-Trimethyl-3-bromopentane.

Solution. (i) 1-bromo-1-methylcyclohexane



In the given compound, all $\beta$-hydrogen atoms are equivalent. Thus, the dehydrohalogenation of this compound gives only one alkene.



(ii)



In the given compound there are two different sets of equivalent $\beta$-hydrogen atoms labelled as a and $\mathrm{b}$. Thus, dehydrohalogenation of the compound yields two alkenes.



Saytzeff's rule implies that in dehydrohalogenation reactions, the alkene having a greater number of alkyl groups attached to a doubly bonded carbon atoms is preferably produced i.e. more stable alkane formed major product

Therefore, alkene (i) i.e., 2-methylbut-2-ene is the major product in this reaction,

(iii)



$2,2,3$-Trimethyl-3-bromopentane

$2,2,3$-Trimethyl-3-bromopentene there are two different sets of equivalent $(\beta-$ hydrogen atoms labelled as a and b. Thus, dehydrohalogenation of the compound yields two alkenes,



According to Saytzeff's rule, in dehydrohalogenation reactions, the alkenes having a greater number of alkyl groups attached to the doubly bonded carbon atom is preferably formed.

Hence, alkene (i) i.e. $3,4,4$-trimethylpent-2-ene is the major product in this reaction.

Question 11. How will you bring about the following conversions?

(i) Ethanol to but-l-yne

(ii) Ethane to bromoethene

(iii) Propene to 1-nitropropane

(iv) Toluene to benzyl alcohol

(v) Propene to propyne

(vi) Ethanol to ethyl fluoride

(vii) Bro morn ethane to propanone

(viii) But-l-ene to but-2-ene

(ix) 1-Chlorobutane to n-octane

(x) Benzene to biphenyl.

Solution. (i)



(ii)



Ethyne has acidic hydrogen (hydrogen attached with carbon $\mathrm{S}_{\mathrm{p}}$ ) $\mathrm{NH}_{2}^{-}$is a base so there acidic-base reaction taking place.

(iii)



(iv)



(v)



(vi)



(vii)



(viii)



(ix) Wurtz reaction



(x)



Question 12. Explain why

(i) the dipole moment of chlorobenzene is lower than that of cyclohexyl chloride?

(ii) alkyl halides, though polar, are immiscible with water?

(iii) Grignard reagents should be prepared under anhydrous conditions?

Solution.



Dipole moment is vector Quantity

In chlorobenzene, the Cl-atom is linked to a sp $^{2}$ hybridized carbon atom. In cyclohexyl chloride, the Cl-atom is linked to a sp $^{3}$ hybridized carbon atom. Now, sp $^{2}$ hybridized carbon has more s-character than sp $^{3}$ hybridized carbon atom. Therefore, the former is more electronegative than the latter, Therefore, the density of electrons of $\mathrm{C}-\mathrm{Cl}$ bond near the Cl-atom is less in chlorobenzene than in cydohexyl chloride.

Moreover, the -R effect of the benzene ring of chlorobenzene decreases the electron density of the C $-$ Cl bond near the Cl-atom. As a result, the polarity

of the $\mathrm{C}-\mathrm{Cl}$ bond in chlorobenzene decreases. Hence, the dipole moment of chlorobenzene is lower than that of cyclohexyl chloride.

(ii) To be miscible with water, the solute-water force of attraction must be stronger than the solute-solute and water-water forces of attraction. Alkyl halides are polar molecules and so held together by dipole-dipole interactions. Similarly, strong H-bonds exist between the water molecules. The new force of attraction between the alkyl halides and water molecules is weaker than the alkyl halide-alkyl halide and water-water forces of attraction. Hence, alkyl halides (though polar) are immiscible with water.

(iii) Grignard reagents are very reactive. In the presence of water, they react and gives alkanes because $\mathrm{R}^{-}$is act as a base and water has acidic hydrogen



Therefore, Grignard reagents should be prepared under anhydrous conditions,

Question 13. Give the uses of freon 12, DDT, carbon tetrachloride and iodoform.

Solution. Uses of Freon -12

Freon-12 (dichlorodifluoromethane, $\mathrm{CF}_{2} \mathrm{CI}_{2}$ ) is commonly known as CFC. It is used as a refrigerant in refrigerators and air conditioners. It is also used in aerosol spray propellants such as body sprays, hair sprays, etc. However, it damages the ozone layer. Hence, its manufacture was banned in the United States and many other countries in 1994 .

Uses of DDT

DDT (p, p-dichlorodiphenyltrichloroethane) is one of the best-known insecticides, It is very effective against mosquitoes and lice. But due its harmful effects, it was banned in the United States in $1973 .$

Uses of carbontetrachloride $\left(\mathrm{CCl}_{4}\right)$

(i) It is used for manufacturing refrigerants and propellants for aerosol cans.

(ii) It is used as feedstock in the synthesis of chlorofluorocarbons and other chemicals.

(iii) It is used as a solvent in the manufacture of pharmaceutical products.

(iv) Until the rnid 1960 's, carbon tetrachloride was widely used as a cleaning fluid, a degreasing agent in industries, a spot reamer in homes, and a fire extinguisher,

Uses of iodoform $\left(\mathbf{C H I}_{3}\right)$

Iodoform was used earlier as an antiseptic, but now it has been replaced by other formulations-containing iodine-due to its objectionable smell. The antiseptic property of iodoform is only due to the liberation of free iodine when it comes in contact with the skin.

Question 14. Write the structure of the major organic product in each of the following reactions

(i) $\mathrm{CH}_{3} \mathrm{CH}_{2} \mathrm{CH}_{2} \mathrm{Cl}+\mathrm{NaI} \frac{\text { acetone }}{\text { heat }}$

(ii) $\left(\mathrm{CH}_{3}\right)_{3} \mathrm{CBr}+\mathrm{KOH} \frac{\text { ethanol }}{\text { heat }}$

(iii) $\mathrm{CH}_{3} \mathrm{CH}(\mathrm{Br}) \mathrm{CH}_{2} \mathrm{CH}_{3}+\mathrm{NaOH} \stackrel{\text { Water }}{\longrightarrow}$

(iv) $\mathrm{CH}_{3} \mathrm{CH}_{2} \mathrm{Br}+\mathrm{KCN} \stackrel{\text { aq.eathanol }}{\longrightarrow}$

(v) $\mathrm{C}_{6} \mathrm{H}_{5} \mathrm{ONa}+\mathrm{C}_{2} \mathrm{H}_{5} \mathrm{Cl} \longrightarrow$

(vi) $\mathrm{CH}_{3} \mathrm{CH}_{2} \mathrm{CH}_{2} \mathrm{OH}+\mathrm{SOCl}_{2} \longrightarrow$

(vii) $\mathrm{CH}_{3} \mathrm{CH}_{2} \mathrm{CH}=\mathrm{CH}_{2}+\mathrm{HBr}$ Peroxide

(viii) $\mathrm{CH}_{3} \mathrm{CH}=\mathrm{C}\left(\mathrm{CH}_{3}\right)_{2}+\mathrm{HBr} \longrightarrow$

Solution: (i)



(ii)



(iii)



(iv)



(v)



(vi)



(vii)



According to Anti-Markovnikov's rule $\mathrm{H}$ add at which carbon where $\mathrm{H}$ atoms are less and $\mathrm{Br}^{-}\left(\mathrm{nu}^{-}\right)$attached

(viii)



According to markovnikov rule $\mathrm{H}$ attached at which carbon where $\mathrm{H}$ atoms are more and $\mathrm{Br}^{-}\left(\mathrm{nu}^{-}\right)$attack where $\mathrm{H}$ are less.

Questtion 15. Write the mechanism of the following reaction:

$\mathrm{nBuBr}+\mathrm{KCN} \stackrel{\mathrm{EtOH}-\mathrm{H}_{2} \mathrm{O}}{\longrightarrow} \mathrm{nBuCN}$

Solution. The given reaction is:

$\mathrm{nBuBr}+\mathrm{KCN} \stackrel{\mathrm{EtOH}-\mathrm{H}_{2} \mathrm{O}}{\longrightarrow} \mathrm{nBuCN}$

The given reaction is an $\mathrm{SN}^{2}$ reaction. In this reaction $\mathrm{CN}^{-}$acts as the nucleophile and attacks the carbon atom to which $\mathrm{Br}$ is attached and less hinderend $\mathrm{CN}^{-}$ion is an ambident nucleophile and can attack through both $\mathrm{C}$ and $\mathrm{N}$. In this case, it attacks through the $\mathrm{C}$-atom.



Question 16. Arrange the compounds of each set-in order of reactivity towards $\mathrm{Sn}^{2}$ displacement:



(ii) 1-Brorno-3-methylbutane, 2-Brorno-2-methylbutane, 3-Bromo-2-methyl butane

(iii) 1-Bromobutane-l-Bromo-2,2-dimethylpropane 1-Bromo-2-methylbutane 1Bromo-3-methyl butane.

Solution. (i)



An $\mathrm{SN}^{2}$ reaction involves the approaching of the nucleophile to the carbon atom to which the leaving group $(-\mathrm{Br})$ is attached. When the nucleophile is sterically hindered; then the reactivity towards $\mathrm{SN}^{2}$ displacement decreases. Due to the presence of substituents, hindrance to the approaching nucleophile decreases SN $^{2}$ order $1^{\circ}>2^{o}>3^{o}$ (alkyl halide).

1-Bromopentane $>2$-brornopentane $>2$-Bromo-2-rnethylbutane (nu $^{-}$approach tendency)

Hence, the increasing order of reactivity towards Sn2 displacement is:

2-Bromo-2-methylbutane $<2$-Brornopentane $<1$-Bromopentane

(ii)



Rate of $\mathrm{SN}^{2}$ reaction $\propto \frac{1}{\text { hindrence }}$

Since steric hindrance in alkyl halides increases in the order of $1^{\circ}<2^{\circ}<3^{\circ}$, the increasing order of reactivity towards $\mathrm{SN}^{2}$ displacement is

$3^{\circ}<2^{\circ}<1^{\circ}$,

Hence, the given set of compounds can be arranged in the increasing order of their reactivity towards $\mathrm{Sn}^{2}$ displacement as:

2-Bromo-2-methylbutane $<2$-Bromo-3-methylbutane $<$ 1-Brorno-3-rnethylbutane

(iii)



The steric hindrance to the nucleophile in the $\mathrm{Sn}^{2}$ mechanism increases with a decrease in the distance of the substituents from the atom containing the leaving group, Further, the steric hindrance increases with an increase in the number of substituents, Therefore, the increasing order of steric hindrances in the given compounds is as below $\beta$ alkyl group substitued compound show less $\mathrm{SN}^{2}$ reaction.

1-Bromobutane $<$ 1-Bromo-3-methylbutane $<1$-Bromo-2-methylbutane $<$ 1-Bromo2, 2-dimethylpropane

Hence, the increasing order of reactivity of the given compounds towards Sn2 displacement is:

1-Bromo-2, 2-dimethylpropane $<$ 1-Bromo-2-methylbutane $<$ 1-Brorno-3methylbutane $<1$-Bromobutane

Question 17. Out of $\mathrm{C}_{6} \mathrm{H}_{5} \mathrm{CH}_{2} \mathrm{CI}$ and $\mathrm{C}_{6} \mathrm{H}_{5} \mathrm{CHClC}_{6} \mathrm{H}_{5}$, which is more easily hydrolysed by aqueous $\mathrm{KOH}$ ?

Solution.



Hydrolysis by aqueous $\mathrm{KOH}$ proceeds through $\mathrm{SN}^{1}$ and by the formation of carbocation, If carbocation is stable, then the compound is easily hydrolyzed by aqueous KOH. (polar protic solvent) Now, $\mathrm{C}_{6} \mathrm{H}_{5} \mathrm{CH}_{2} \mathrm{Cl}$ forms $l^{\circ}$-carbocation, while $\mathrm{C}_{6} \mathrm{H}_{5} \mathrm{CHClC}_{6} \mathrm{H}_{5}$ forms $2^{\circ}$-carbocation is more stable than $1^{\circ}$-carbocation due to $+\mathrm{ve}$ charge is more delocalized.



Hence, $\mathrm{C}_{6} \mathrm{H}_{5} \mathrm{CHCIC}_{6} \mathrm{H}_{5}$ is hydrolyzed more easily than $\mathrm{C}_{6} \mathrm{H}_{5} \mathrm{CH}_{2} \mathrm{Cl}$ by aqueous $\mathrm{KOH} .$

Question 18. p-Dichlorobenzene has higher melting point and lower solubility than those of o and m-isomers, Discuss.

Solution.



Melting point $\propto$ Packing efficiency

Solubility $\propto \mu$ (Dipole moment)

Force of attraction $\& \mu \propto \frac{1}{\theta} ; \theta \downarrow \mu \uparrow$

Hence solubility decrease.

p-Dichlorobenzene is more symmetrical than o-and m-isomers. For this reason, it fits more closely than o-and m-isomers in the crystal lattice, Therefore, more energy is required to break the crystal lattice of p-dichlorobenzene, As a result, pdichlorobenzene has a higher melting point and lower solubility than $\mathrm{o}$-and $\mathrm{m}$ isomers.

Question 19. (i) Propene to propan-l -ol

(ii) Ethanol to but-l -yne

(iii) 1 -Brornopropane to 2 -brornopropane

(iv) Toluene to benzyl alcohol

(v) Benzene to 4 - bro mo nitrobenzene

(vi) Benzyl alcohol to 2 -phenylethanoic acid

(vii) Ethanol to propanenitrile

(viii) Aniline to chlorobenzene

(ix) $2-$ Chlorobutane to $3,4-$ dirnethylhexane

(x) $2-$ Methyl-l -propene to 2 -chloro-2 – rnethylpropane

(xi) Ethyl chloride to propanoic acid

(xii) But-l -ene to $\mathrm{n}$-butyliodide

(xiii) 2 -Chloropropane to 1 -propanol

(xiv) Isopropyl alcohol to iodoform

(xv) Chlorobenzene to p-nitrophenol (xvi) 2 -Bromopropane to 1 -bromopropane

(xvii) Chloroethane to butane

(xviii) Benzene to diphenyl

(xix) tert-Butyl bromide to isobutyl bromide

(xx) Aniline to phenylisocyanide

Solution. (i)

(ii)





(iii)



(iv)



(v)



(vi)



(vii)



(viii)



(ix)



(x) Markovnikov’s rule: -



(xi)



(xii)



(xiii)



(xiv)



(xv)



Electrophile generation:



(xvii)



(xviii)



(xix)



(xx)



Question 20. The treatment of alky I chlorides with aqueous KOH leads to the formation of alcohols but in the presence of alcoholic KOH, alkenes are major products. Explain.

Solution. In an aqueous solution, KOH almost completely ionizes to give $\mathrm{OH}^{-}$ions, $\mathrm{OH}^{-}$ion is a strong nucleophile, which leads the alkyl chloride to undergo a substitution reaction to form alcohol.



On the other hand, an alcoholic solution of KOH contains alkoxide $\left(\mathrm{RO}^{-}\right)$ion, which is a as well as nucleophile strong base. Thus, it can abstract a hydrogen from the $\beta$-carbon of the alkyl chloride and form an alkene by biomolecular eliminating a molecule of HCI.



$\mathrm{OH}^{-}$ion is a much weaker base than $R O^{-}$ion. Also, $\mathrm{OH}^{-}$ion is highly solvated in an aqueous solution and as a result, the basic character of $\mathrm{OH}^{-}$ion decreases. Therefore, it cannot abstract a hydrogen from the ( $3-$ carbon).

Question 21. Primary alkyl halide $\mathrm{C}_{4} \mathrm{H}_{9} \mathrm{Br}$ (a) reacted with alcoholic $\mathrm{KOH}$ to give compound (b), Compound (b) is reacted with HBr to give (c) which is an isomer of (a). When (a) is reacted with sodium metal it gives compound (d), $\mathrm{C}_{8} \mathrm{H}_{18}$ which is different from the compound formed when $\mathrm{n}$-butyl bromide is reacted with sodium. Give the structural formula of (a) and write the equations for all the reactions,

Solution. There are two primary alkyl halides having the formula, $\mathrm{C}_{4} \mathrm{H}_{9} \mathrm{Br}$. They are $\mathrm{n}$-butyl bromide and isobutyl bromide.

NCERT Solutions for Class 12 Chemistry Chapter 10 Haloalkanes and Haloarenes PDF Image 145

Therefore, compound (a) is either n-butyl bromide or isobutyl bromide,

Now, compound (a) reacts with Na metal to give compound (b) of molecular formula, $\mathrm{C}_{8} \mathrm{H}_{18}$, which is different from the compound formed when $\mathrm{n}$-butyl bromide reacts with Na metal. Hence, compound (a)must be isobutyl bromide.

NCERT Solutions for Class 12 Chemistry Chapter 10 Haloalkanes and Haloarenes PDF Image 146

NCERT Solutions for Class 12 Chemistry Chapter 10 Haloalkanes and Haloarenes PDF Image 147

Thus, compound (d) is $2,5-$ dimethylhexane.

It is given that compound (a) reacts with alcoholic $\mathrm{KOH}$ to give compound (b). Hence, compound (b) is $2-$ methylpropene.

NCERT Solutions for Class 12 Chemistry Chapter 10 Haloalkanes and Haloarenes PDF Image 148

Also, compound (b) reacts with $\mathrm{HBr}$ to give compound (c) which is an isomer of

(a), Hence, compound (c) is $2-$ brorno $-2$ - methylpropane,

NCERT Solutions for Class 12 Chemistry Chapter 10 Haloalkanes and Haloarenes PDF Image 149

Question 22. What happens when

(i) n-butyl chloride is treated with alcoholic KOH,

(ii) brornobenzene is treated with Mg in the presence of dry ether,

(iii) chlorobenzene is subjected to hydrolysis,

(iv) ethyl chloride is treated with aqueous KOH,

(v) methyl bromide is treated with sodium in the presence of dry ether,

(vi) methyl chloride is treated with KCN.

Solution. (i) When $\mathrm{n}$-butyl chloride is treated with alcoholic $\mathrm{KOH}$, the formation of but-l-ene takes place (Hoffman producer). This reaction is a dehydrohalogenation reaction.

NCERT Solutions for Class 12 Chemistry Chapter 10 Haloalkanes and Haloarenes PDF Image 150

(ii) When bromobenzene is treated with $\mathrm{Mg}$ in the presence of dry ether, phenylmagnesium bromide (Grignard reagent) is formed.

NCERT Solutions for Class 12 Chemistry Chapter 10 Haloalkanes and Haloarenes PDF Image 151

(iii) Chlorobenzene does not undergo hydrolysis under normal conditions However, it undergoes hydrolysis when heated in an aqueous sodium hydroxide solution at a temperature of $623 \mathrm{k}$ and a pressure of $300 \mathrm{~atm}$ to form phenol.

NCERT Solutions for Class 12 Chemistry Chapter 10 Haloalkanes and Haloarenes PDF Image 152

(iv) When ethyl chloride is treated with aqueous $\mathrm{KOH}$, it undergoes hydrolysis to form ethanol.

NCERT Solutions for Class 12 Chemistry Chapter 10 Haloalkanes and Haloarenes PDF Image 153

(v) When methyl bromide is treated with sodium in the presence of dry ether, ethane is

formed, This reaction is known as the Wurtz reaction.

NCERT Solutions for Class 12 Chemistry Chapter 10 Haloalkanes and Haloarenes PDF Image 154

(vi) When methyl chloride is treated with $\mathrm{KCN}$, it undergoes a substitution reaction to give

methyl cyanide,

NCERT Solutions for Class 12 Chemistry Chapter 10 Haloalkanes and Haloarenes PDF Image 155

Also Read,

Download PDF Class 12 Chemistry Notes.

Download PDF Class 12 Chemistry Book Chapterwise.

Download PDF Class 12 Chemistry Exemplar Chapterwise.

If you have any Confusion related to NCERT Solutions for Class 12 Chemistry Chapter 10 Haloalkanes and Haloarenes PDF then feel free to ask in the comments section down below.

To watch Free Learning Videos on Class 12 Chemistry by Kota’s top IITan’s Faculties Install the eSaral App

Leave a comment