Question:
A bag contains (2n + 1) coins. It is known that n of these coins has a head on both sides whereas the rest of the coins are fair. A coin is picked up at random from
the bag and is tossed. If the probability that the toss results in a head is 31/42, determine the value of n.
Solution:
Given, n coins are two headed coins and the remaining (n + 1) coins are fair.
Let E1: the event that unfair coin is selected
E2: the event that the fair coin is selected
E: the event that the toss results in a head
So,
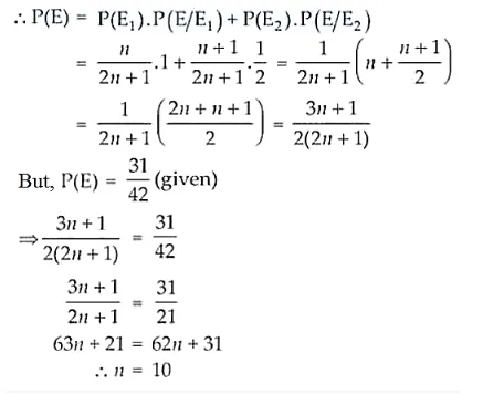
P(E1) = n/(2n + 1) and P(E2) = (n + 1)/ (2n +1)
P(E/E1) = 1 (As it’s a sure event)
P(E/E2) = ½

Therefore, the required value of n is 10.