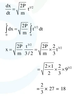
Question:
A body of mass $2 \mathrm{~kg}$ is driven by an engine delivering a constant power $1 \mathrm{~J} / \mathrm{s}$. The body starts from rest and moves in a straight line. After 9 seconds, the body has moved a distance (in $\mathrm{m}$ )_________.
Solution:

