A capacitor of capacitance 2 0 μF is charged to a potential difference of
Question:
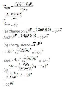
A capacitor of capacitance $20 \mu \mathrm{F}$ is charged to a potential difference of $12 \mathrm{~V}$. It is then connected to an uncharged capacitor of capacitance $4^{\prime} 0 \mu \mathrm{F}$ as shown in figure (31-E22). Find
(a) the charge on each of the two capacitors after the connection,
(b) the electrostatic energy stored in each of the two capacitors and
(c) the heat produced during the charge transfer from one capacitor to the other.

Solution:
