A capacitor of capacitance 8.0 μF
Question:
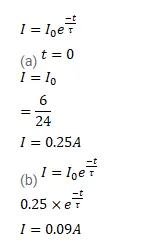
A capacitor of capacitance $8.0 \mu \mathrm{F}$ is connected to a battery of emf $6.0 \mathrm{~V}$ through a resistance of $24 \Omega$. Find the current in the circuit
(a) Just after the connections are made and
(b) One time constant after the connections are made
Solution:
