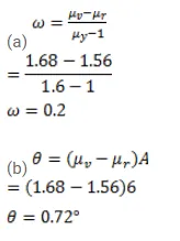
Question:
A certain material has refractive indices $1.56,1.60$ and $1.68$ for red, yellow and violet light respectively. (a) Calculate the dispersive power. (b) Find the angular dispersion produced by a thin prism of angle $6^{\circ}$ made of this material.
Solution:
