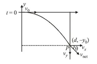
A charged particle (mass m and charge q ) moves along X
A charged particle (mass $m$ and charge $q$ ) moves along $X$ axis with velocity $V_{0}$. When it passes through the origin it
enters a region having uniform electric field $\vec{E}=-E \hat{j}$ which
extends upto $x=d$. Equation of path of electron in the region $x>d$ is :

Correct Option: , 2
(2) $F_{x}=0, a_{x}=0,(v)_{x}=$ constant
Time taken to reach at ' $P$ ' $=\frac{d}{v_{0}}=t_{0}$ (let) ...(i)
$($ Along $-y), y_{0}=0+\frac{1}{2} \cdot \frac{q E}{m} \cdot t_{0}^{2}$ ....(ii)

$\tan \theta=\frac{v_{y}}{v_{x}}=\frac{q E t_{0}}{m \cdot v_{0}},\left(t=\frac{d}{v_{0}}\right)$
$\tan \theta=\frac{q E d}{m \cdot v_{0}^{2}}$, Slope $=\frac{-q E d}{m v_{0}^{2}}$
No electric field $\Rightarrow F_{\text {net }}=0, \vec{v}=$ const.
$y=m x+c,\left\{\begin{array}{c}m=\frac{q E d}{m v_{0}^{2}} \\ \left(d,-y_{0}\right)\end{array}\right\}$
$-y_{0}=\frac{-q E d}{m v_{0}^{2}}, d+c \Rightarrow c=-y_{0}+\frac{q E d^{2}}{m v_{0}^{2}}$
$y=\frac{-q E d}{m v_{0}^{2}} x-y_{0}+\frac{q E d^{2}}{m v_{0}^{2}}$
$y=\frac{-q E d}{m v_{0}^{2}} x-y_{0}+\frac{q E d^{2}}{m v_{0}^{2}}$
$y_{0}=\frac{1}{2} \cdot \frac{q E}{m}\left(\frac{d}{v_{0}}\right)^{2}=\frac{1}{2} \frac{q E d^{2}}{m v_{0}^{2}}$
$y=\frac{-q E d x}{m v_{0}^{2}}-\frac{1}{2} \frac{q E d^{2}}{m v_{0}^{2}}+\frac{q E d^{2}}{m v_{0}^{2}}$
$y=\frac{-q E d}{m v_{0}^{2}}+\frac{1}{2} \frac{q E d^{2}}{m v_{0}^{2}} \Rightarrow y=\frac{\mathrm{qEd}}{\mathrm{mv}_{0}^{2}}\left(\frac{d}{2}-x\right)$