A copper wire of radius 0.1mm and resistance 1kΩ
Question:
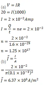
A copper wire of radius $0.1 \mathrm{~mm}$ and resistance $1 \mathrm{k} \Omega$ is connected across a power supply of $20 \mathrm{~V}$. (a) How many electrons are transferred per second between the supply and the wire at one end? (b) Write down the current density in the wire.
Solution:
