Question: A metal crystallises in a face centred cubic structure. If the edge length of its unit cell is
'a', the closest approach between two atoms in metallic crystal will be :-
2a
$2 \sqrt{2} a$
$\sqrt{2} a$
$\frac{a}{\sqrt{2}}$
Correct Option: , 4
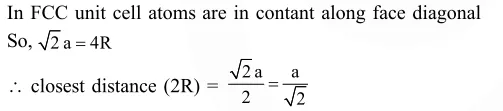
Solution:
