Question:
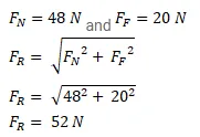
A monkey is sitting on a tree limb. The limb exerts a normal force of $48 \mathrm{~N}$ and a frictional force of $20 \mathrm{~N}$. Find the magnitude of the total force exerted by the limb on the monkey.
Solution:
