Question:
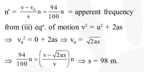
A motor cycle starts from rest and accelerates along a straight path at $2 \mathrm{~m} / \mathrm{s}^{2}$. At the starting point of the motor cycle there is a stationary electric siren. How far has the motor cycle gone when the driver hears the frequency of the siren at $94 \%$ of its value when the motor cycle was at rest ?
$\left(\right.$ Speed of sound $=330 \mathrm{~ms}^{-1}$ ) :-
Correct Option: , 4
Solution:
