Question:
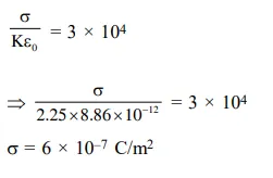
A parallel plate capacitor is made of two circular plates separated by a distance of $5 \mathrm{~mm}$ and with a dielectriic of dielectric constant $2.2$ between them. When the electric field in the dielectric field in the dielectric is $3 \times 10^{4} \mathrm{~V} / \mathrm{m}$, the charge density of the positive plate will be close to :
Correct Option: , 3
Solution:
