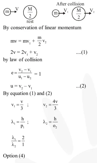
Question:
A particle A of mass $m$ and initial velocity $v$ collides with a particle $B$ of mass $\frac{m}{2}$ which is at rest. The collision is head on, and elastic. The ratio of the de-Broglie wavelengths $\lambda_{\mathrm{A}}$ to $\lambda_{\mathrm{B}}$ after the collision is :
Correct Option: , 4
Solution:
