A particle moves with simple harmonic motion in a straight line.
Question:
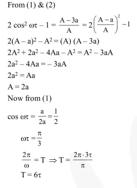
A particle moves with simple harmonic motion in a straight line. In first $\tau \mathrm{s}$, after starting from rest it travels a distance a, and in next $\tau \mathrm{s}$ it travels $2 \mathrm{a}$, in same direction, then :
Correct Option: , 2
Solution:

