A prism of angle
Question:
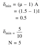
A prism of angle $\mathrm{A}=1^{\circ}$ has a refractive index $\mu=1.5$. A good estimate for the minimum angle of deviation (in degrees) is close to $\mathrm{N} /$ 10 . Value of $N$ is__________.
Solution:
