A ray of light along

Question:

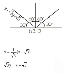
A ray of light along $x+\sqrt{3} y=\sqrt{3}$ gets reflected upon reaching $x$-axis, the equation of the reflected ray is:

  1. $y=x+\sqrt{3}$

  2. $\sqrt{3} y=x-\sqrt{3}$

  3. $y=\sqrt{3} x-\sqrt{3}$

  4. $\sqrt{3} y=x-1$


Correct Option:

Solution:

Leave a comment