Question:
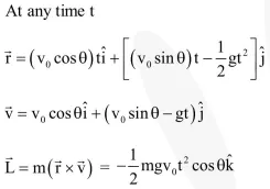
A small particle of mass $\mathrm{m}$ is projected at an angle $\theta$ with the $\mathrm{x}$-axis with an initial velocity $\mathrm{v}_{0}$ in the $x-y$ plane as shown in the figure. At a time $t<\frac{v_{0} \sin \theta}{g}$, the angular momentum of the particle is: Where $\hat{i}, \hat{j}$ and $\hat{k}$ are unit vectors along $x, y$ and $z$-axis respectively.

Correct Option: , 4
Solution:
