A solution at 20°C is composed of 1.5 mol of benzene and 3.5 mol
Question:
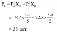
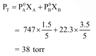
A solution at $20^{\circ} \mathrm{C}$ is composed of $1.5 \mathrm{~mol}$ of benzene and $3.5 \mathrm{~mol}$ of toluene. If the vapour pressure of pure benzene and pure toluene at this temperature are $74.7$ torr and $22.3$ torr, respectively, then the total vapour pressure of the solution and the benzene mole fraction in equilibrium with it will be, respectively :
Correct Option: 1
Solution:
