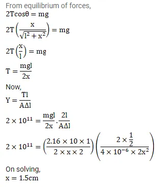
Question:
A steel wire of original length $1 \mathrm{~m}$ and cross-sectional area $4.00 \mathrm{~mm}^{2}$ is clamped at the two ends so that it lies horizontally and without tension. If a load of $2.1 \mathrm{~kg}$ is suspended from the middle point of the wire, what would be its vertical depression? $\mathrm{Y}$ of the steel $=2.0 \times 10^{11} \mathrm{~N} / \mathrm{m}^{2}$. Take $\mathrm{g}=10 \mathrm{~m} / \mathrm{s}^{2}$
Solution:


