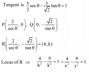
Question: A tangent to the hyperbola $\frac{x^{2}}{4}-\frac{y^{2}}{2}=1$ meets $x$-axis at $P$ and $y$-axis at $Q$. Lines $P R$ and $Q R$ are drawn such that OPRQ is a rectangle (where $\mathrm{O}$ is the origin). Then $\mathrm{R}$ lies on :
$\frac{2}{x^{2}}-\frac{4}{y^{2}}=1$
$\frac{4}{x^{2}}-\frac{2}{y^{2}}=1$
$\frac{4}{x^{2}}+\frac{2}{y^{2}}=1$
$\frac{2}{x^{2}}+\frac{4}{y^{2}}=1$
Correct Option: , 2
Solution:
