Question: A thin uniform rod of length $l$ and mass $m$ is swinging freely about a horizontal axis passing through its end. Its maximum angular speed is $\omega$. Its centre of mass rises to a maximum height of:
$\frac{1}{2} \frac{l^{2} \omega^{2}}{g}$
$\frac{1}{6} \frac{l^{2} \omega^{2}}{g}$
$\frac{1}{3} \frac{l^{2} \omega^{2}}{\mathrm{~g}}$
$\frac{1}{6} \frac{l \omega}{g}$
Correct Option: , 2
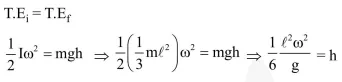
Solution:
