Question:
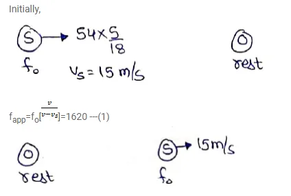
A train approaching a platform at a speed of $54 \mathrm{~km} \mathrm{~h}^{-1}$ sounds a whistle. An observer on the platform finds its frequency to be $1620 \mathrm{~Hz}$. the train passes the platform keeping the whistle on and without slowing down. What frequency will the observer hear after the train has crossed the platform? The speed of sound in air $=332 \mathrm{~m} \mathrm{~s}^{-1}$
Solution:

