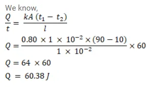
Question:
A uniform slab of dimension $10 \mathrm{~cm} \times 10 \mathrm{~cm} \times 1 \mathrm{~cm}$ is kept between two heat reservoirs at temperatures $10^{\circ} \mathrm{C}$ and $90^{\circ} \mathrm{C}$ The larger surface areas touches the reservoirs. The thermal conductivity of the material is $0.08$ $\mathrm{W} / \mathrm{m}^{\circ} \mathrm{C} \mathrm{C}$ Find the amount of heat flowing through the slab per minute.
Solution:
