Question: A water fountain on the ground sprinkles water all around it. If the speed of water coming out of the fountain is $\mathrm{v}$, the total area around the fountain that gets wet is :-
$\frac{\pi}{2} \frac{v^{4}}{g^{2}}$
$\pi \frac{\mathrm{v}^{2}}{\mathrm{~g}^{2}}$
$\pi \frac{v^{2}}{g}$
$\pi \frac{\mathrm{v}^{4}}{\mathrm{~g}^{2}}$
Correct Option: , 4
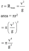
Solution:
