A wire has a length of 2.0m and a resistance of 5.0Ω.
Question:
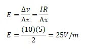
A wire has a length of $2.0 \mathrm{~m}$ and a resistance of $5.0 \Omega$. Find the electric field existing inside the wire if it carries a current of 10A.
Solution:
