A wire of length 1m and radius 0.1mm has a resistance of 100Ω.

Question:

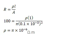
A wire of length $1 \mathrm{~m}$ and radius $0.1 \mathrm{~mm}$ has a resistance of $100 \Omega$. Find the resistivity of the material.

Solution:

Leave a comment