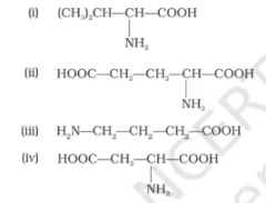
Amino acids are classified as acidic,
Question:
Amino acids are classified as acidic, basic or neutral depending upon the
relative number of amino and carboxyl groups in their molecule. Which of
the following is acidic?

Solution:
Option (ii) and (iv) are the answers.