Question:
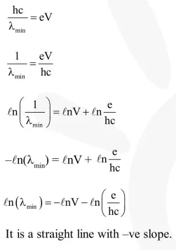
An electron beam is accelerated by a potential difference $\mathrm{V}$ to hit a metallic target to produce X-rays. It produces continuous as well as characteristic X-rays.If $\lambda_{\min }$ is the smallest possible wavelength of $X$-ray in the spectrum, the variation of $\log \lambda_{\min }$ with $\log \mathrm{V}$ is correctly represented in :
Correct Option: , 3
Solution:




