An ideal gas enclosed in a vertical cylindrical container supports a freely moving piston of mass M.
Question:
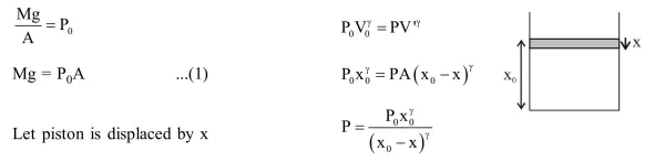
An ideal gas enclosed in a vertical cylindrical container supports a freely moving piston of mass M. The piston and the cylinder have equal cross sectional area $A$. When the piston is in equilibrium, the volume of the gas is $\mathrm{V}_{0}$ and its pressure is $\mathrm{P}_{0}$. The piston is slightly displaced from the equilibrium position and released. Assuming that the system is completely isolated from its surrounding, the piston executes a simple harmonic motion with frequency.
Correct Option: , 2
Solution:

