Question:
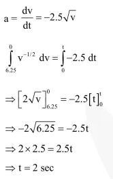
An object, moving with a speed of $6.25 \mathrm{~m} / \mathrm{s}$, is decelerated at a rate given by $\frac{\mathrm{dv}}{\mathrm{dt}}=-2.5 \sqrt{\mathrm{v}}$ where $v$ is the instantaneous speed. The time taken by the object, to come to rest, would be :-
Correct Option: , 4
Solution:
