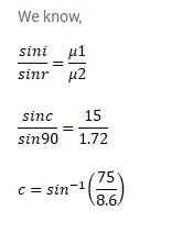
An optical fibre (????=1.72) is surrounded by a glass
Download now India's Best Exam Prepration App
Class 8-9-10, JEE & NEET
Video Lectures
Live Sessions
Study Material
Tests
Previous Year Paper
Revision
Question:
An optical fibre $(\mu=1.72)$ is surrounded by a glass coating $(\mu=1.50)>$ fing the critical angle for total internal reflection at the fiber glass interface.