An unsaturated hydrocarbon X
Question:
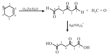
An unsaturated hydrocarbon $X$ absorbs two hydrogen molecules on catalytic hydrogenattion, and also gives following reaction :

$\mathrm{B}(3$ - oxo - hexanedicarboxylic acid $)$ $\mathrm{X}$ will be :-
Correct Option: 1
Solution:




