Question:
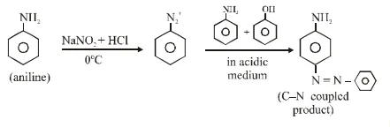
Aniline dissolved in dilute $\mathrm{HCl}$ is reacted with sodium nitrite at $0^{\circ} \mathrm{C}$. This solution was added dropwise to a solution containing equimolar mixture of aniline and phenol in dil. HCl. The structure of the major product is :
Correct Option: 1
Solution:




