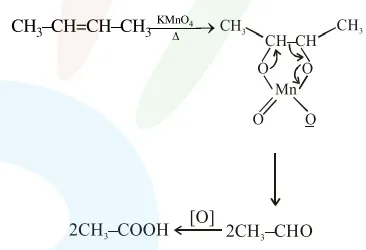
Question: But-2-ene on reaction with alkaline $\mathrm{KMnO}_{4}$ at elevated temperature followed by acidification will give :
one molecule of $\mathrm{CH}_{3} \mathrm{CHO}$ and one molecule of $\mathrm{CH}_{3} \mathrm{COOH}$

2 molecules of $\mathrm{CH}_{3} \mathrm{COOH}$
2 molecules of $\mathrm{CH}_{3} \mathrm{CHO}$
Correct Option: , 3
Solution:
