Complete combustion of
Question:
Complete combustion of $3 \mathrm{~g}$ of ethane gives $\mathrm{x} \times 10^{22}$ molecules of water. The value of $\mathrm{x}$
is________. (Round off to the Nearest Integer).
[Use : $\mathrm{N}_{\mathrm{A}}=6.023 \times 10^{23}$; Atomic masses in $\mathrm{u}$ $: \mathrm{C}: 12.0 ; \mathrm{O}: 16.0 ; \mathrm{H}: 1.0]$
Solution:
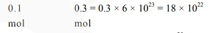
$\mathrm{C}_{2} \mathrm{H}_{6} \rightarrow 3 \mathrm{H}_{2} \mathrm{O}$

No. of molecules $=0.3 \times 6.023 \times 10^{23}$
$=18.069 \times 10^{22}$