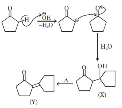
Consider the above reaction,

Question:

Consider the above reaction, the product ' $\mathrm{X}$ ' and 'Y' respectively are :

 


Correct Option: , 3

Solution:

Leave a comment