Question:
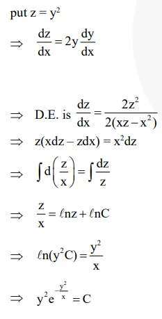
Consider the differential equation $\frac{\mathrm{dy}}{\mathrm{dx}}=\frac{\mathrm{y}^{3}}{2\left(\mathrm{xy}^{2}-\mathrm{x}^{2}\right)}$ :
Statement 1 : The substitution $\mathrm{z}=\mathrm{y}^{2}$ transforms the above equation into a first order homogenous differential equation.
Statement 2 : The solution of this differential equation is $y^{2} e^{-\frac{y^{2}}{x}}=C$.
Correct Option: , 2
Solution:
