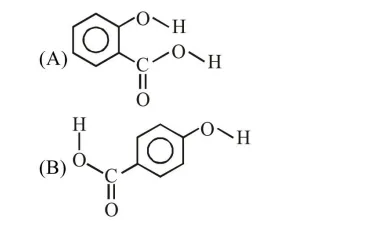
Question:
Consider the following molecules and statements related to them :

(a) (B) is more likely to be crystalline than (A)
(b) (B) has higher boiling point than (A)
(c) (B) dissolves more readily than (A) in water
Identify the correct option from below :
Correct Option: , 3
Solution:

(a) B will be more crystalline due to more inter molecular interactions hence more efficient packing.
(b) B will have higher boiling point due to higher intermolecular interactions.
(c) $\mathrm{B}$ will be more soluble in water than $\mathrm{A}$ as B will have more extent of H-bonding in water So all three statements are correct
$\{$ Solubility date $\Rightarrow$ O-salicylic acid $=2 \mathrm{~g} / \mathrm{L}$
P-salicylic acid $=5 \mathrm{~g} / \mathrm{L}\}$