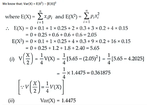
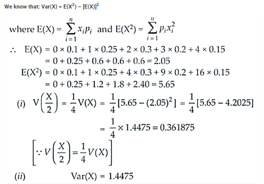
Consider the probability distribution of a random variable X:

Question:

Consider the probability distribution of a random variable X:

Solution:

Given:

Leave a comment