Distance between two parallel planes

Question:

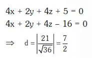
Distance between two parallel planes $2 \mathrm{x}+\mathrm{y}+2 \mathrm{z}=8$ and $4 \mathrm{x}+2 \mathrm{y}+4 \mathrm{z}+5=0$ is :-

  1. $\frac{3}{2}$

  2. $\frac{5}{2}$

  3. $\frac{7}{2}$

  4. $\frac{9}{2}$


Correct Option: , 3

Solution:

Leave a comment