Question:
Evaluate the following integrals:
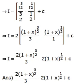
$\int \frac{x}{\sqrt{1+x}} d x$
Solution:


Comments
reismarco808
Dec. 1, 2022, 7:41 p.m.
Just how damaging a strike would be to the economy would depend on its length, but a strike of even a few days could lead to a cascade of events that would disrupt supply chains for weeks, industry officials warn. The White House projects that as many as 765,000 people could be put out of work in the first two weeks.