Question:
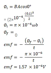
Figure shows a circular wheel of radius $10.0 \mathrm{~cm}$ whose upper half, shown dark in figure, is made of iron and the lower half of wood. The two junctions are joined by an iron rod. A uniform magnetic field B of magnitude $2.00 \times 10^{-4}$ T exists in the space above the central line as suggested by the figure. The wheel is set into pure rolling on the horizontal surface. If it takes $2.00$ seconds for the iron part to come down and the wooden part to go up, find the average emf induced during this period.

Solution:
