Figure shows a small block of mass
Question:
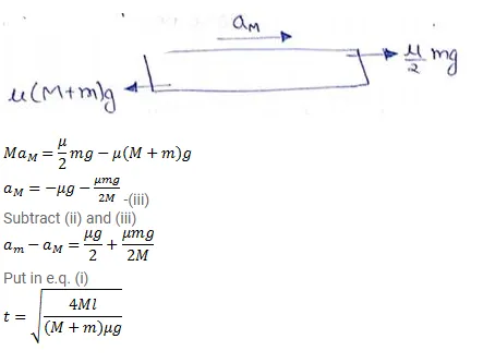
Figure shows a small block of mass $m$ kept at the left end of a larger block of mass Mand length I. The system can slide on a horizontal road. The system is started towards right with an initial velocity v. The friction coefficient between the road and the bigger block is $\mu$ and that between the block is $\mu / 2$. Find the time elapsed before the smaller blocks separates from the bigger block.

Solution:


FBD of mass m,


