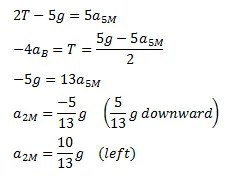
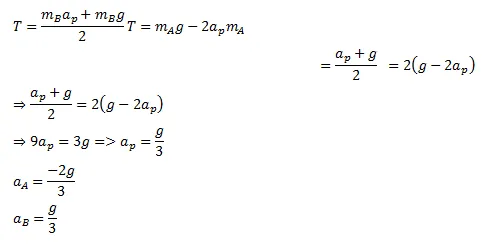
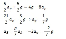
Find the acceleration of the blocks A

Question:

Find the acceleration of the blocks $A$ and $B$ in the three situations shown in figure.

Solution:

Leave a comment