Question:
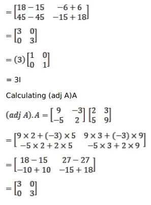
Find the adjoint of the given matrix and verify in each case that $A .(\operatorname{adj} A)=(\operatorname{adj} A)=m|A| . I$.
$\left[\begin{array}{ll}2 & 3 \\ 5 & 9\end{array}\right]$
Solution:



Ans. $\left[\begin{array}{cc}9 & -3 \\ -5 & 2\end{array}\right]$