Question:
Find the equations of the two lines through the origin which intersect the line
$\frac{x-3}{2}=\frac{y-3}{1}=\frac{z}{1}$ at angles of $\pi / 3$ each.
Solution:
Any point in the given line is
x – 3/ 2 = y – 3/1 = z/1 = λ
x = 2λ + 3, y = λ + 3 and z = λ
Let it be the coordinates of P
So, the direction ratios of OP are (2λ + 3 – 0), (λ + 3 – 0) and (λ – 0) ⇒ 2λ + 3, λ + 3, λ
But the direction ratios of the line PQ are 2, 1, 1
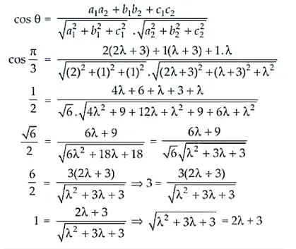
Now, we know that

λ2 + 3λ + 3 = 4λ2 + 9 + 12λ (On squaring on both sides)
3λ2 + 9λ + 6 = 0
λ2 + 3λ + 2 = 0
(λ + 1)( λ + 2) = 0
λ = -1, -2
So, the direction are:
[2(-1) + 3, -1 + 3, -1] = (-2, 2, -1) when λ = -1 and
[2(-2) + 3, -2 + 3, -2] = (-1, 1, -2) when λ = -2.
Thus, the required equation of planes are
x/1 = y/2 = z/-1 and x/-1 = y/1 = z/-2