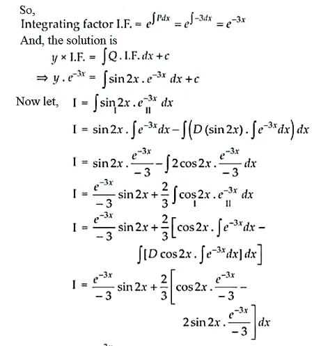
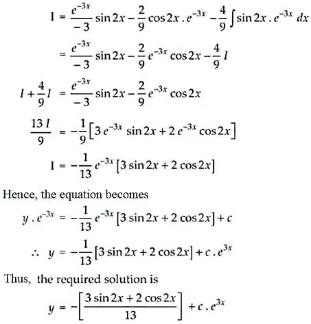
Find the general solution of
Question:
Find the general solution of dy/dx – 3y = sin 2x.
Solution:
Given equation, dy/dx – 3y = sin 2x
It’s a first order linear differential equation
Here P = -3 and Q = sin 2x

