Find the magnitude of the electric field at the point p

Question:

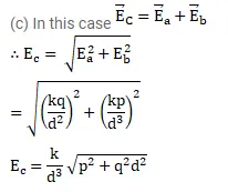
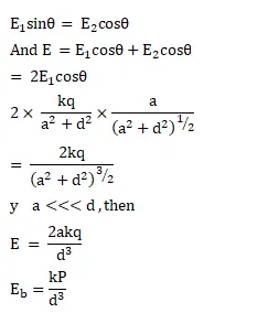
Find the magnitude of the electric field at the point $p$ in the configuration shown in figure (29.E7) for $d>>a$. take $2 q a=p$.

Solution:

Leave a comment