Find the missing frequencies in the following frequency distribution, whose mean is 50.
Question:
Find the missing frequencies in the following frequency distribution, whose mean is 50.

Solution:
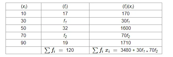
We will prepare the following table:

Thus, we have:
Mean $=\frac{\sum f_{i} x_{i}}{\sum x_{i}}$
$\Rightarrow 50=\frac{3480+30 f_{1}+70 f_{2}}{120}$
$\Rightarrow 6000=3480+30 f_{1}+70 f_{2}$
$\Rightarrow 30 f_{1}+70 f_{2}=2520 \ldots \ldots$ (i)
Also,
Given:
$17+f_{1}+32+f_{2}+19=120$
$\Rightarrow 68+f_{1}+f_{2}=120$
$\Rightarrow f_{1}+f_{2}=52$
or, $f_{2}=52-f_{1} \ldots$ (ii)
By putting the value of f2 in (i), we get:
$2520=30 f_{1}+70\left(52-f_{1}\right)$
$\Rightarrow 2520=30 f_{1}+3640-70 f_{1}$
$\Rightarrow 40 f_{1}=1120$
$\Rightarrow f_{1}=28$
Substituting the value in (ii), we get:
$f_{2}=52-f_{1}=52-28=24$