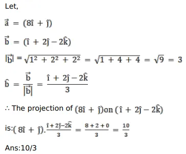
Find the projection of

Question:

Find the projection of $(8 \hat{\mathrm{i}}+\hat{\mathrm{j}})$ in the direction of $(\hat{\mathrm{i}}+2 \hat{\mathrm{j}}-2 \hat{\mathrm{k}})$.

Solution:

Leave a comment